next up previous contents
suivant: Adjoint au second ordre monter: 4D-VAR précédent: 4D-VAR   Table des matières

Adjoint au premier ordre

Considérons une petite perturbation $ \delta x_0=\alpha h$ de la condition initiale $ x_0$ , où $ \alpha$ est le paramètre que nous ferons tendre vers 0 et $ h$ la direction de la perturbation. Soit $ \tilde{x}$ la solution du système

$\displaystyle \left\{ \begin{array}{l} \displaystyle \frac{d\tilde{x}}{dt}=F(\tilde{x}),  [0.3cm] \tilde{x}(0)=x_0+\delta x_0. \end{array} \right.$ (2.19)

Si on fait la différence entre la solution $ \tilde{x}$ de (2.19) et la solution $ x$ de (2.17), puis en divisant cela par $ \alpha$ , $ \delta x = \displaystyle
\frac{\tilde{x}-x}{\alpha}$ vérifie le système différentiel suivant :

$\displaystyle \left\{ \begin{array}{l} \displaystyle \frac{d \delta x}{dt}=\left[ F'(x)\right]\delta x,  [0.3cm] \delta x(0) = h. \end{array} \right.$ (2.20)

$ \delta x$ est alors la dérivée de $ x$ le long de la direction $ h$ . La dérivée de $ J$ par rapport à $ x_0$ dans la direction $ h$ est alors :

\begin{displaymath}\begin{array}{rcl} \nabla J(x_0).h &=& \displaystyle (x_0-x_b...
...x(t_i))\right)^T R_i^{-1}H_i'(x(t_i))\delta x(t_i). \end{array}\end{displaymath} (2.21)

En définissant l'état adjoint (voir [47] pour la construction des équations adjointes à partir des équations du modèle) :

$\displaystyle \left\{ \begin{array}{l} \displaystyle -\frac{dp}{dt}=\left[F'(x)...
...t(y_i-H_i(x(t_i))\right) \delta_{t_i}(t),  [0.3cm] p(T)=0 \end{array} \right.$ (2.22)

avec une condition finale nulle, il vient :

\begin{displaymath}
\begin{array}{rcl}
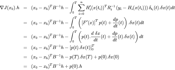
\nabla J(x_0).h &=& \displaystyle (x_0-x_...
...m]
& = & \displaystyle (x_0-x_b)^TB^{-1}h + p(0).h
\end{array}\end{displaymath}

On en déduit donc le gradient de la fonction coût :

$\displaystyle \nabla J(x_0) = B^{-1}(x_0-x_b) + p(0),$ (2.23)

$ p$ étant l'état adjoint, solution de (2.22).

Si on utilise un algorithme de minimisation qui ne nécessite que la connaissance de la fonction coût et de son gradient, à chaque itération, il ne faut que deux intégrations d'un système différentiel : le système direct (2.17) afin de calculer $ J$ , et le système adjoint (2.22) afin de calculer $ \nabla J$ .


next up previous contents
suivant: Adjoint au second ordre monter: 4D-VAR précédent: 4D-VAR   Table des matières
Retour à la page principale