My mathematical drawings and animations (page under construction, regularly changing)



Profile graphs

  • Two profile graphs of Z
  • Two profile graphs of Z/6Z
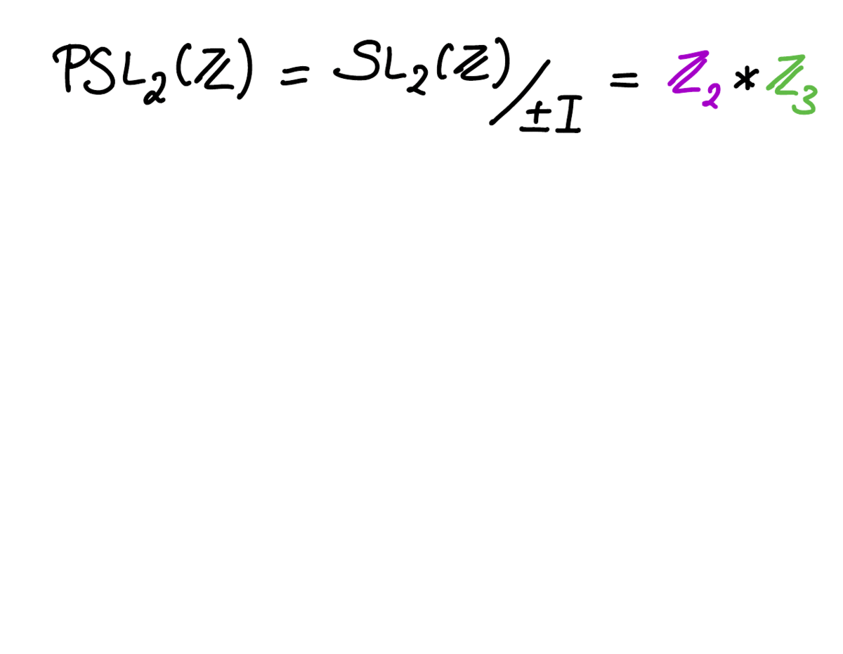
  • A profile graph of PSL(2,Z)
  • A profile graph of F_2
  • Profile graphs of Z^2

    Hyperbolicity

  • Geodesic space
  • Thin triangles
  • Thin triangles in H^2
  • Thin triangles in PSL(2,Z)
  • Thin triangles in F_2
  • Thin and fat triangles in Z^2

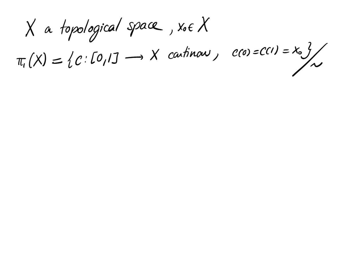
    The fundamental group

  • Fundamental group
  • Inverse in the fundamental group
  • Trivial loop
  • A non-trivial loop
  • A non-trivial loop and its inverse

    Universal covers

  • Z*Z^2 (the universal cover of a torus wedge a circle) final picture
  • Amalgamated product of a surface group with Z^2 (Relative hyperbolicity, displayed at ICERM) final picture

    Hyperbolic 3-space

  • Truncated hyperbolic space, with explanations, this is an enhanced version of Neutered space that has been featured in the AMS book Illustrating mathematics.
  • Elliptic isometry in H^3 (inspired by Roice Nelson)
  • Elliptic isometry 2 in H^3 (inspired by Roice Nelson)
  • Hyperbolic isometry in H^3 (inspired by Roice Nelson)
  • Hyperbolic isometry 2 in H^3 (inspired by Roice Nelson)
  • Parabolic isometry in H^3

    Surfaces

  • A torus
  • A torus with a trivial loop on it
  • A genus 2 surface
  • A genus 2 surface with a trivial loop on it
  • A non-compact surface quasi-isometric to a wedge of half-lines




    Retour à ma page personnelle